This blog covers important questions with answers regarding the best cd rates available for $100000.
If you have a large bucks of money and searching for an option to earn interest on them. The good option is investing in the best cd rates.
There are versatile options of the best CD rates available for $100000 provide by most banks including large, small, and online banks.
Excluding banks, credit unions offers Certificates of Deposits (CDs) with varying interest rates. A Certificate of Deposit is a type of savings account that holds your money for a fixed period (term) and earns a guaranteed interest rate.
Interest rates on CD is varying. But the most updated and current CD rates as followed.
3-6 months: 4.50% – 5.25% APY
1-year: 5.00% – 5.50% APY
3-year: 4.00% – 4.75% APY
5-year: 3.75% – 4.50% APY
CDs are the good saving options if you want to keep your money growing. It’s good if you have enough cash that you do not need now but you will want within a few years.
This money can help you save and plan for a world tour, a new home, a car, etc.
Pros:
Cons:
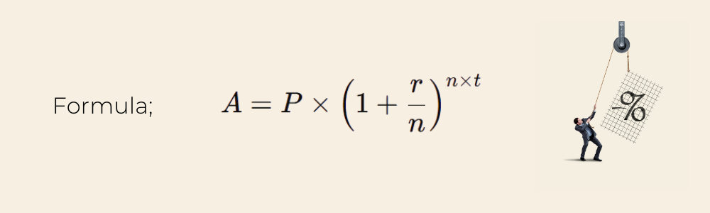
Using the following basic formula, withholder can calculate their CD returns easily.

Where:
A = Final amount after interest
P = Principal (initial deposit)
r = Annual interest rate (decimal form)
n = Number of times interest is compounded per year
Various types of CD offers varying rates and hence you might have various questions too. Continue reading to find commonly asked questions and answers related CD rates.
Imagine you deposit money into a CD for one year and earn interest at a fixed rate. You cannot withdraw funds early without a penalty unless it’s a no-penalty CD.
You already know that CDs have fixed terms and interest rates. While savings accounts have variable rates. CDs restrict withdrawals, whereas savings accounts offer easy access.
It offer convenience because you can either withdraw the funds, renew the CD, or transfer the money to another account. If you do nothing, some banks may automatically renew the CD. And same will happens to your best cd rates available for $100000.
You can apply online or at a bank, choose a CD term, deposit the required amount, and agree to the fixed interest rate.
Banks set CD rates based on the Federal Reserve rate, market conditions, and competition.
CD rates fluctuate due to changes in the Federal Reserve’s interest rates, inflation, and economic conditions.
APY represents the total interest earned in a year, including compounding effects, making it more accurate than the basic interest rate.
Most CDs have fixed interest rates, but some options like Bump-Up CDs allow for a rate increase.
It varies by bank, but it can be daily, monthly, quarterly, or annually. Daily compounding gives the best returns.
Yes, some banks allow monthly interest payouts instead of letting it compound inside the CD.
Yes, online banks typically offer higher CD rates due to lower operating costs.
CD rates vary, but as of 2024-2025, the highest rates range between 5.25% – 5.50% APY for 1-year CDs.
The best cd rates available for $100000 usually offer higher interest rates than money market accounts, but lack liquidity since funds are locked for a term.
Sometimes it can be happen, especially if you’re a loyal customer. However, it’s totally depend on bank.
Not always. Sometimes, shorter-term CDs have competitive rates due to economic conditions or bank promotions.
Yes, but most CDs charge penalties for early withdrawals, unless it’s a no-penalty CD.
Typically, banks deduct a portion of the earned interest, ranging from 30 days to 12 months of interest, depending on the CD term.
A CD that allows early withdrawals without penalties, but it may offer a lower interest rate than traditional CDs.
Yes, most banks offer automatic renewal, but you can also choose to withdraw or reinvest in a different CD. It is totally up to you.
It involves dividing your investment into multiple CDs with different maturity dates, so you get regular access to funds and can reinvest at better rates.
Your CD is secure and safe even if you forget to withdraw. Many banks automatically renew the CD for the same term. You usually have a 7-10 day grace period to withdraw without penalties.
There is a penalty impose by the provider on early CD withdrawal. You’ll likely pay an early withdrawal penalty. Ask for the penalties to the bank’s associate or help desk.
Absolutely yes, CDs are FDIC-insured (banks) up to $250,000 per depositor and NCUA-insured (credit unions) up to the same limit.
Yes, most banks offer automatic renewal, but you can opt out during the 7-10 day grace period after maturity.
You can reinvest, withdraw, or transfer the interest earned into another savings or investment account.
No, you cannot directly transfer a CD, but you can withdraw the funds at maturity and open a new CD elsewhere. And this is the only process.
Most CDs do not allow partial withdrawals; you typically must withdraw the full balance and pay a penalty if done early.
CD interest is considered taxable income in the year it is earned, even if you don’t withdraw it. Therefore, reading the taxation rule on CD is important too.
Yes, some banks let you borrow against the best cd rates available for $100000, typically offering a secured loan with lower interest rates.
What is a Jumbo CD?
In a simple term, Jumbo CD requires a large minimum deposit starts from $100,000 and often offers higher interest rates than regular CD.
What is a Bump-Up CD?
A Bump-Up CD allows you to increase your interest rate once (or multiple times) during the term if rates rise.
What is a Step-Up CD?
A Step-Up CD has pre-scheduled interest rate increases at set intervals during its term.
What is a Callable CD?
A Callable CD can be redeemed early by the bank before maturity if interest rates drop.
What is a Foreign Currency CD?
A Foreign Currency CD is issued in ‘not in dollar’ currency, exposing investors to exchange rate risks but potentially higher returns.
What is a Zero-Coupon CD?
A Zero-Coupon CD is purchased at a discounted price and pays no periodic interest. It matures at full face value.
A Brokered CD is sold through investment firms at a higher rates and can be traded or sold before maturity in secondary markets.
Yes, IRA CDs are available and offer tax advantages, but 401(k) plans typically don’t allow direct CD investments.
Yes, Credit unions typically offer higher CD rates and lower fees than traditional banks because of member-focused structure.
It might not be a good for high-inflation economy but hey provide safety and guaranteed returns, making them a secure option in volatile markets.
As much I understand about CD is that it’s a safe and reliable way to grow your savings with guaranteed returns. They come in different types and each offer different aspects of advantages.
If you are thinking to open a Certificate of Deposits (CDs) do consider check the interest rate, term length, and early withdrawal rules. And the best cd rates available for $100000 can help secure your future.
That’s all in this blog. Thanks for reading 🙂
As CDs are secured and reliable way to grow funds, it is smart idea to put $100000 to earn high yield returns.
The return depends on the CD rates, if it is 4% makes $4,000 - for in a total balance of $104,000 at the end of the term.
Mountain America credit union, INOVA federal credit union, DR bank, Brilliant Bank, MutualOne, Sun Canyon Bank offers highest CD rates currently.
Yes, caption one provides best cd rates available for $100000 and high-yield CD returns.
Disclaimer: The information written on this article is for education purposes only. We do not own them or are not partnered to these websites. For more information, read our terms and conditions.
FYI: Explore more tips and tricks here. For more tech tips and quick solutions, follow our Facebook page, for AI-driven insights and guides, follow our LinkedIn page.
Tuesday August 12, 2025
Friday July 4, 2025
Thursday June 12, 2025
Tuesday June 10, 2025
Wednesday May 28, 2025
Monday March 17, 2025
Tuesday March 11, 2025
Wednesday March 5, 2025
Tuesday February 11, 2025
Wednesday January 22, 2025